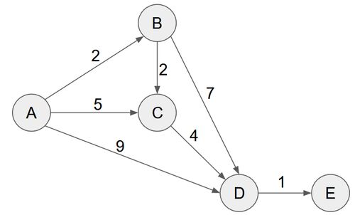
Pythonのネットワーク計算パッケージ「NetworkX」を使用して重み付き有向グラフの最短経路をダイクストラ法で求めます。 NetworkXのインストール 下記のようにpipでインストールができます。 pip install networkx 今回はNetworkX2.2を使用しました。 グラフ…
引用をストックしました
引用するにはまずログインしてください
引用をストックできませんでした。再度お試しください
限定公開記事のため引用できません。